ネクサスブログ

02

Jan

2次方程式の判別のコツ

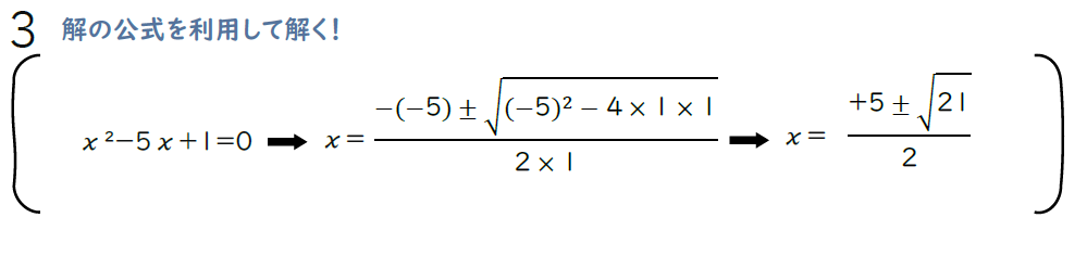
中3で出てくる2次方程式は解き方がいくつかあります。
今回は3つの基本パターンを、下の2つのステップに沿って整理してみましょう。

 

 

スクリーンショット 2025-11-04 162312

 

 

 

スクリーンショット 2025-11-04 162400

 

 

スクリーンショット 2025-11-04 162447

 

 

スクリーンショット 2025-11-04 162508

 

 

お問い合わせ

個別指導ネクサス

個別指導ネクサスへのアクセス

[google mapはこちら]

〒955-0056
三条市嘉坪川1-2-17
ネクサスビル2F

電話
0256-32-5107
受付時間
月〜金曜日
pm3:00-9:00

アクセスページはこちら

  • えんぴつくんペーパークラフトダウンロード
  • ネクサスLINE

ページの先頭へ

ホーム
ネクサスとは
教室紹介
指導方針
先生紹介
授業案内
小学部
中学部
高校部
授業料
授業料一覧
入塾の流れ
よくある質問
お問い合わせ
ネクサスブログ
アクセス
お知らせ